Magna Concursos
903029 Ano: 2012
Disciplina: Física
Banca: FUNIVERSA
Orgão: PC-DF
Provas:

Na questão , caso seja necessário, considere as seguintes informações.

1) As grandezas vetoriais estão representadas por letras em negrito. Por exemplo, a letra F (em negrito) indica o vetor força, enquanto a letra F (sem negrito) indica o módulo do vetor força.

2) As expressões trigonométricas estão abreviadas da seguinte forma:

seno = sen

cosseno = cos

tangente = tg

3) A aceleração da gravidade está representada por g = 10 m/s2.

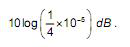
Um latido de cachorro possui uma potência de, aproximadamente, 2 mW. Considerando a aproximação π = 3,0 e a intensidade sonora de referência Enunciado 903029-1 se essa potência for uniformemente distribuída em todas as direções, o nível de intensidade sonora para uma distância de 10 m pode ser expresso por
 

Provas

Questão presente nas seguintes provas

Perito Criminal - Física

80 Questões