- FundamentosPropriedades das Substâncias
- Química InorgânicaGeometria Molecular, Polaridade e Forças Intermoleculares
- Química OrgânicaPropriedades Químicas dos Compostos Orgânicos
- Química OrgânicaReações OrgânicasReações Orgânicas: Oxidação, Redução e Polimerização
- Química OrgânicaTipos de Reagentes e Mecanismos das Reações Orgânicas

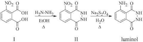
O luminol, empregado na prática forense para identificação de vestígios de tecido sanguíneo, pode ser preparado a partir dos compostos I e II, conforme a rota sintética representada na figura precedente. A respeito das estruturas químicas apresentadas nessa figura e das propriedades físicas e químicas de suas moléculas, assinale a opção correta.