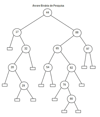
A figura a seguir representa uma árvore de pesquisa binária. Cada nodo interno é representado
pela figura de um círculo e armazena um valor inteiro. Cada nodo externo é representado por um
retângulo e todos estão vazios.
Marque a alternativa que apresenta o conteúdo dos nodos visitados na sequência correta, ao se
executar o algoritmo encontreElemento(82) na árvore de pesquisa binária da figura abaixo.
Marque a alternativa que apresenta o conteúdo dos nodos visitados na sequência correta, ao se
executar o algoritmo encontreElemento(82) na árvore de pesquisa binária da figura abaixo.Provas
Questão presente nas seguintes provas
Professor PEBTT - Desenvolvimento de Sistemas
50 Questões