Magna Concursos
2124585 Ano: 2021
Disciplina: Matemática
Banca: URCA
Orgão: Pref. Crato-CE
Provas:

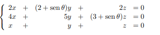
Considere o sistema linear abaixo nas variáveis x, y e z Enunciado 2124585-1 onde θ ∈ (0, π). Para um certo θ fixado, o sistema abaixo é possível e indeterminado. Neste caso, o conjunto solução é

 

Provas

Questão presente nas seguintes provas

Professor - Matemática

60 Questões