Magna Concursos
810726 Ano: 2010
Disciplina: Matemática
Banca: FCC
Orgão: TRF-4
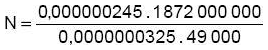
Um número escrito na notação científica é expresso pelo produto de um número racional x por Enunciado 810726-1 , sendo 1 ? x < 10 e n um número inteiro. Dessa forma, a expressão do número
Enunciado 810726-2 na notação cientifica é
 

Provas

Questão presente nas seguintes provas

Analista Judiciário - Contabilidade

70 Questões

Analista Judiciário - TI

70 Questões