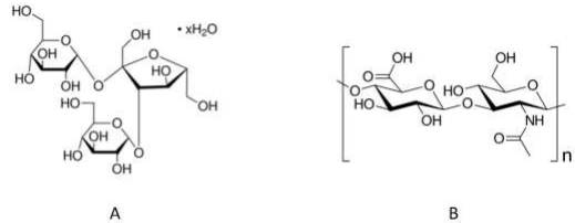
As estruturas a seguir representam dois carboidratos biologicamente importantes. A melecitose, representada
em “A”, está presente na seiva de algumas plantas, atuando como agente atrativo de insetos, como formigas
e abelhas. O ácido hialurônico, representado em “B”, está presente na matriz extracelular de organismos
animais, onde possui função estrutural.

Sobre os carboidratos representados, marque a afirmativa correta.

Sobre os carboidratos representados, marque a afirmativa correta.