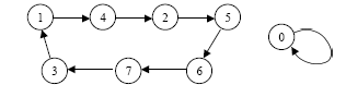
Uma máquina de estado síncrona que apresenta o comportamento dado pelo diagrama de estado abaixo, se implementada com flip-flops tipo D, precisará no mínimo de

Uma máquina de estado síncrona que apresenta o comportamento dado pelo diagrama de estado abaixo, se implementada com flip-flops tipo D, precisará no mínimo de
