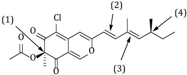
Os microrganismos são capazes de sintetizar substâncias que podem apresentar atividades biológicas interessantes. A estrutura química de um pigmento, denominado esclerotiorina, produzido pelo fungo Penicillium sclerotiorum, está representada a seguir.

Fórmula estrutural da esclerotiorina
Nessa estrutura foram apontados dois átomos de carbono que são centros assimétricos (1 e 4) e duas duplas (2 e 3) que apresentam isomeria E/Z.
A configuração absoluta dos carbonos e a configuração das duplas ligações, de acordo com a sequência numérica, são