Magna Concursos
119689 Ano: 2013
Disciplina: Matemática
Banca: ESPP
Orgão: BBTS
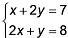
O valor de b para que o determinante da matriz Enunciado 119689-1 seja igual a 8, em que x e y são as coordenadas da solução do sistema Enunciado 119689-2, é igual a:
 

Provas

Questão presente nas seguintes provas

Técnico Administrativo

65 Questões

Técnico de Operação

30 Questões