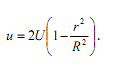
A figura a seguir ilustra um escoamento incompressível e laminar em um duto circular de raio R. O escoamento desenvolve-se a partir de um perfil uniforme com velocidade U até adquirir, na seção 2, um perfil de velocidades na forma de um parabolóide

Sendo
a massa específica do fluido e denotando por p1 e p2 as pressões nas seções 1 e 2, respectivamente, a força de arrasto F que as paredes do duto exercem sobre o fluido é igual a

Provas
Questão presente nas seguintes provas