Magna Concursos
Questões
Planos
Entrar
Entrar
Criar Conta
Respondida
1371816
Ano:
2009
Disciplina:
TI - Desenvolvimento de Sistemas
Banca:
IFPI
Orgão:
IFPI
Provas:
Analista de TI
Provas
×
Engenharia de Software
UML: Unified Modeling Language
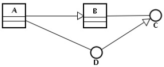
A alternativa que melhor corresponde à implementação do diagrama de classes abaixo é:
A
public interface C { ... } public interface D extends C { ... } public class B implements C { ... } public class A extends B implements D { ... }
B
public interface C { ... } public interface D implements C { ... } public class B extends C { ... } public class A extends D implements B { ... }
C
public interface C { ... } public interface D implements C { ... } public class B implements C { ... } public class A extends B implements D { ... }
D
public class C { ... } public class D extends C { ... } public interface B implements C { ... } public interface A extends B implements D { ... }
E
public class C { ... } public class D extends C { ... } public class B extends C { ... } public class A extends B, D { ... }
Resolver
Comentários
0
×
Cadernos
×
Flashcards
×
Estatísticas
×
Reportar um erro
×
Provas
Questão presente nas seguintes provas
Analista de TI
50 Questões
Resolver Prova
Publicar
Responder
Qual o problema da questão?
Selecione uma opção
Questão Desatualizada
Questão Repetida
Gabarito Errado
Outros Motivos
Mensagem
Enviar
Acessar
Criar Conta
Acesse sua Conta
Google
Facebook
Esqueci minha senha
Acessar
Ainda não tem conta?
Crie uma
!
Crie uma Conta
Criar Conta
Olá, para continuar, precisamos criar uma conta!
É
rápido
e
grátis
.
Google
Facebook
Concordo com os
Termos de Uso
Criar
Já tem uma conta?
Acesse aqui