Magna Concursos
1008989 Ano: 2016
Disciplina: TI - Desenvolvimento de Sistemas
Banca: AOCP
Orgão: UFFS
Provas:

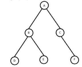
Observando a figura a seguir, que representa uma árvore binária, é correto afirmar que


Enunciado 1008989-1

 

Provas

Questão presente nas seguintes provas

Técnico de TI

50 Questões