Magna Concursos
1148640 Ano: 2016
Disciplina: Física
Banca: IADES
Orgão: PC-DF
Provas:
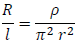
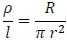
Cabos metálicos são utilizados na transmissão de energia elétrica desde a fonte geradora até a fonte consumidora. Tais cabos possuem uma geometria cilíndrica de raio r e resistividade p, uma propriedade que depende do material constituinte. Assinale a alternativa que corresponde à resistência elétrica por unidade de comprimento desses cabos de transmissão.
 

Provas

Questão presente nas seguintes provas

Perito Criminal - Física

80 Questões