Magna Concursos
2729803 Ano: 2023
Disciplina: TI - Desenvolvimento de Sistemas
Banca: UFF
Orgão: UFF
Provas:

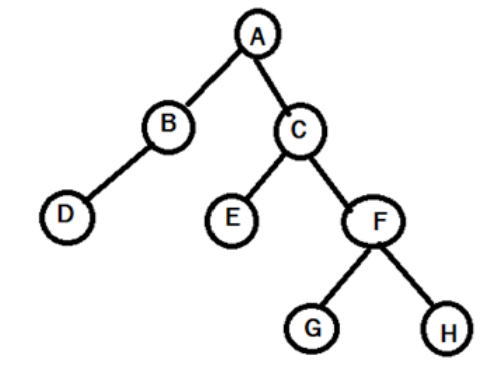
Observe a seguinte figura.

Enunciado 2729803-1

A altura e o grau da árvore representada são, respectivamente:

 

Provas

Questão presente nas seguintes provas

Técnico de TI

65 Questões