
Na figura anterior, que representa um circuito constituído de vários elementos passivos e de uma fonte de tensão independente, todos ideais, estão caracterizadas algumas tensões e correntes e indicados cinco nós: a, b, c, d e e. A respeito desse circuito, julgue o item a seguir.
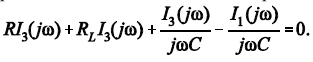
Se I1(jω) e I2(jω) forem as correspondentes correntes
no domínio da frequência para as correntes i1(t) e i3(t),
consideradas de malha, então, em regime permanente
senoidal e no domínio da frequência, a equação de laço
para a malha de saída, onde estão presentes os nós c, d e e, é 