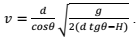
Um motorista que dirigia em alta velocidade em São Paulo perde a direção ao passar por uma rampa de areia na beira da estrada e fica pendurado na parede de um prédio após a colisão. Considerando que um perito de trânsito mede o grau de inclinação θ acima do solo, além de determinar a altura H em que o centro de massa do carro se encontra acima do solo e a distância horizontal do voo do carro (d), a velocidade estimada do carro no acidente pode ser assim determinada:
