
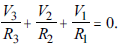
Considerando que o circuito elétrico da figura acima esteja operando na região de ruptura e que, nele, o diodo zener seja ideal e tenha tensão de ruptura Vz é correto afirmar que
![]()

Considerando que o circuito elétrico da figura acima esteja operando na região de ruptura e que, nele, o diodo zener seja ideal e tenha tensão de ruptura Vz é correto afirmar que
![]()