
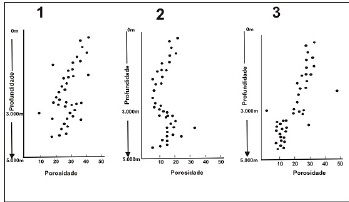
Os gráficos, 1, 2 e 3 acima ilustram dados de porosidade e profundidade, obtidos em arenitos em três poços, em uma mesma bacia. Analisando-os, conclui-se que o(s) gráfico(s):

Os gráficos, 1, 2 e 3 acima ilustram dados de porosidade e profundidade, obtidos em arenitos em três poços, em uma mesma bacia. Analisando-os, conclui-se que o(s) gráfico(s):