Magna Concursos
1091250 Ano: 2018
Disciplina: Matemática
Banca: NUCEPE
Orgão: SEDUC-PI
Provas:

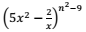
A soma dos coeficientes de enunciado 1091250-1 é 2187. Qual o termo independente de x nesse desenvolvimento?

 

Provas

Questão presente nas seguintes provas