
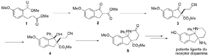
Com base na figura acima e em relação às condições reacionais para a obtenção de cada intermediário sintético, assinale a opção correta.
Provas
Questão presente nas seguintes provas
Pesquisador do Inmetro - Síntese de Fármacos
100 Questões