Magna Concursos
2328226 Ano: 2022
Disciplina: Matemática
Banca: FUNDATEC
Orgão: Pref. Viamão-RS
Provas:
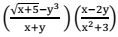
Qual o valor numérico da expressão Enunciado 2328226-1 se x = −1 e y = 2?
 

Provas

Questão presente nas seguintes provas

Analista de Sistemas

60 Questões

Biólogo

60 Questões

Bioquímico

60 Questões

Contador

58 Questões

Economista

60 Questões

Educador Físico

60 Questões

Engenheiro Ambiental

60 Questões

Engenheiro Civil

60 Questões

Engenheiro Eletricista

60 Questões

Fisioterapeuta

60 Questões

Fonoaudiólogo

60 Questões

Jornalista

60 Questões

Pedagogo

60 Questões