Magna Concursos
Questões
Planos
Entrar
Entrar
Criar Conta
Respondida
1734939
Ano:
2014
Disciplina:
Engenharia de Materiais
Banca:
BIO-RIO
Orgão:
NUCLEP
Provas:
Engenheiro - Ensaio de Materiais, Soldagem e Tratamento Térmico
Provas
×
Técnicas de produção e fabricação de peças e materiais
A
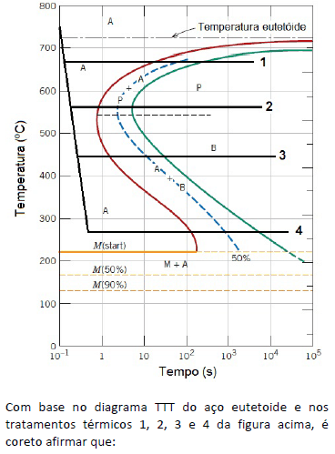
o tratamento 1 provoca a formação de perlita fina.
B
o tratamento 2 provoca a formação de uma microestrutura mais dura e resistente do que o tratamento 4.
C
o tratamento 3 provoca uma transformação inteiramente adifusional.
D
o tratamento 4 produz bainita inferior mais dúctil que a microestrutura dos tratamentos 1 e 2.
E
os tratamentos 3 e 4 podem ser chamados de austêmpera.
Resolver
Comentários
0
×
Cadernos
×
Flashcards
×
Estatísticas
×
Reportar um erro
×
Provas
Questão presente nas seguintes provas
Engenheiro - Ensaio de Materiais, Soldagem e Tratamento Térmico
60 Questões
Resolver Prova
Publicar
Responder
Qual o problema da questão?
Selecione uma opção
Questão Desatualizada
Questão Repetida
Gabarito Errado
Outros Motivos
Mensagem
Enviar
Acessar
Criar Conta
Acesse sua Conta
Google
Facebook
Esqueci minha senha
Acessar
Ainda não tem conta?
Crie uma
!
Crie uma Conta
Criar Conta
Olá, para continuar, precisamos criar uma conta!
É
rápido
e
grátis
.
Google
Facebook
Concordo com os
Termos de Uso
Criar
Já tem uma conta?
Acesse aqui