Magna Concursos
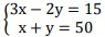
O conjunto solução do sistema de equações Enunciado 2958276-1 é formado por dois números naturais tal que o maior desses números supera o menor desses número em
 

Provas

Questão presente nas seguintes provas

Agente de Trânsito

65 Questões

Agente Previdenciário

65 Questões

Assistente Administrativo

65 Questões

Fiscal Ambiental

65 Questões

Inspetor de Obras

65 Questões

Técnico de Raio X

65 Questões

Técnico em Edificações

65 Questões

Técnico Municipal de Controle Interno

65 Questões

Topógrafo

65 Questões