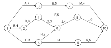
O planejamento da construção de um galpão comercial seguiu o cronograma PERT-CPM a seguir, no qual as atividades estão indicadas por letras, seguidas da duração, em semanas.

Devido ao atraso de 2 semanas para iniciar a atividade A e ao atraso de 1 semana na entrega de materiais para executar a atividade E, conclui-se que a obra