
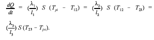
A figura acima mostra esquematicamente uma parede de área S, formada por 3 camadas de materiais diferentes, de espessuras l1, l2 e l3 e condutividades térmicas 81, 82 e 83, respectivamente, a qual separa um ambiente interno de temperatura Ti, de um ambiente externo de temperatura Te, tal que Ti > Te. Acerca dos processos de transferência de calor entre os ambientes interno e externo e com base nessas informações, julgue os itens seguintes.
A potência térmica transmitida por condução é a mesma em cada transição de parede e pode ser expressa pela equação: 