Magna Concursos
1011222 Ano: 2019
Disciplina: Química
Banca: UFRN
Orgão: UFRN

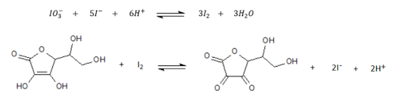
O técnico recebeu a tarefa de determinar o teor de vitamina C (C6H8O6 – MM=176,12 g mol-1 ) em amostra de comprimidos. Após pulverização e homogeneização pesou uma amostra de 0,1852 g do pó, transferiu para erlenmeyer e dissolveu com cerca de 20,0 mL de águ a destilada. Completada a dissolução adicionou 2,0 g de iodeto de potássio (KI) e 5 mL de ácido sulfúrico (H2SO4) 0,5 mol L-1 . Titulou com solução padrão de iodato de potássio (KIO3) 0,0250 mol L-1 , utilizando como indicador solução de amido a 1%, o volume da solução de iodato de potássio gasto foi de 13,2 mL. Considere a sequência de reações abaixo.

Enunciado 1011222-1

Com base nessas informações conclui-se que o teor de vitamina C no comprimido é de aproximadamente:

 

Provas

Questão presente nas seguintes provas

Técnico de Laboratório - Química

50 Questões