Magna Concursos
714471 Ano: 2013
Disciplina: Engenharia Eletrônica
Banca: CESPE / CEBRASPE
Orgão: TELEBRAS

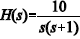
A função de transferência (FT) de um sistema contínuo com resposta impulsional h(t) é dada por enunciado 714471-1 , em que s é uma variável complexa utilizada na definição da transformada de Laplace. A FT do sistema amostrado com período de amostragem T é obtida efetuando-se a transformação do plano s no plano z por meio da expressão z = esT. A transformação efetuada permite a obtenção da transformada z do sistema. Com base nessas informações, julgue o item a seguir.

Se for submetido a uma excitação de entrada do tipo degrau unitário, o sistema em questão não apresentará resposta finita em regime permanente.

 

Provas

Questão presente nas seguintes provas