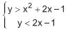
A Figura apresenta uma região do plano cartesiano, destacada na cor cinza, que é limitada por uma reta e por uma parábola.
A região em destaque é constituída pelos pontos (x,y) cujas coordenadas satisfazem o seguinte sistema de inequações:

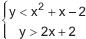
A região em destaque é constituída pelos pontos (x,y) cujas coordenadas satisfazem o seguinte sistema de inequações:
