Acerca de circuitos digitais, julgue os itens subsecutivos.
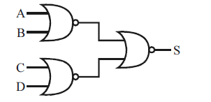
O circuito a seguir implementa corretamente a expressão booliana S = (A+B)x(C+D).

Acerca de circuitos digitais, julgue os itens subsecutivos.
O circuito a seguir implementa corretamente a expressão booliana S = (A+B)x(C+D).
