Magna Concursos
1684762 Ano: 2008
Disciplina: Matemática
Banca: UPENET/IAUPE
Orgão: Pref. Abreu Lima-PE
Provas:

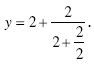
Rebeca, aluna aplicada, pede para seu pai resolver a expressão enunciado 1684762-1 . Ajude o pai de Rebeca a calcular a expressão.

 

Provas

Questão presente nas seguintes provas

Coveiro

30 Questões