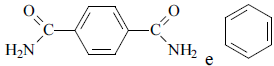
O Kevlar®, material utilizado na fabricação de coletes à prova de balas, vem sendo usado também no recobrimento de tanques que armazenam substâncias contaminantes, para evitar perfurações e vazamento dessas substâncias para o ambiente. O Kevlar® é uma fibra com altíssima razão força/peso, cinco vezes mais forte que o aço, fabricada a partir de uma reação de condensação de uma amina (1,4-fenileno-diamina) com ácido tereftálico, um diácido. Uma das etapas dessa reação de condensação é uma desidratação. A seguir, é apresentada a fórmula estrutural do Kevlar®.

Disponível em: qnint.sbq.org.br. Acesso em: out. 2019 (adaptado).
Quais são as fórmulas estruturais das duas substâncias que formam o Kevlar®?
Provas
Questão presente nas seguintes provas