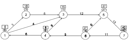
Instruções: Para responder à questão considere a figura e os dados abaixo.
A figura representa uma rede PERT de eventos.


i , j = eventos
teij = duração de atividade
TE = data mais cedo
TL = data mais tarde
A questão de números refere-se à suposição de que tenha havido um atraso de 10 dias na atividade 1-2 e um atraso de 13 dias na atividade 4-6.
Se a "data mais tarde" para se atingir o evento 7 for fixada em 55 dias, a nova "data mais tarde" para se iniciar o evento 6 é