Julgue os próximos itens, pertinentes a planejamento, controle da
produção e outros aspectos da construção naval.
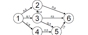
Considere que a figura a seguir ilustre um exemplo de rede CPM, usada para o planejamento de obras, em que o tempo é calculado em dias. Nesse caso, os círculos numerados da figura indicam eventos, as setas marcadas por letras indicam atividades, o caminho crítico é de 17 dias e há folgas entre algumas atividades.

Provas
Questão presente nas seguintes provas