Considere a seguinte EDO:

Encontre os pólos do sistema e determine se o sistema é estável ou instável. Considere o sistema causal e com condições iniciais nulas.
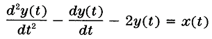
Considere a seguinte EDO:

Encontre os pólos do sistema e determine se o sistema é estável ou instável. Considere o sistema causal e com condições iniciais nulas.