Magna Concursos
2689093 Ano: 2018
Disciplina: Matemática
Banca: FADESP
Orgão: IF-PA

Para

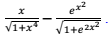
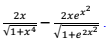
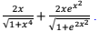
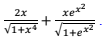
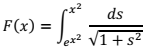
enunciado 3240568-1

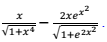
com x ∈ [0,1] , tem-se que enunciado 3240568-2 é dada por

Questão Anulada

Provas

Questão presente nas seguintes provas

Professor PEBTT - Matemática

60 Questões