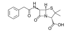
A descoberta da Penicilina G ou Benzilpenicilina e o seu subsequente uso terapêutico representou um marco na terapia medicamentosa, pois o seu surgimento no passado produziu uma acentuada redução da mortalidade.

Assinale a opção que indica as funções orgânicas presentes nessa molécula.