1804191
Ano: 2006
Disciplina: TI - Desenvolvimento de Sistemas
Banca: IPAD
Orgão: Polícia Científica-PE
Disciplina: TI - Desenvolvimento de Sistemas
Banca: IPAD
Orgão: Polícia Científica-PE
Provas:
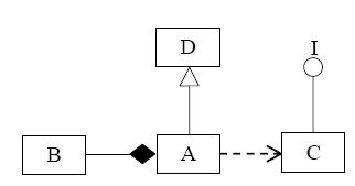
Considere o diagrama de classes e as afirmativas abaixo:

1. Um objeto da classe B pertence a exatamente um único objeto da classe A.
2. A classe A realiza a interface C.
3. A classe A herda as variáveis e os métodos da classe D.
Assinale a alternativa correta