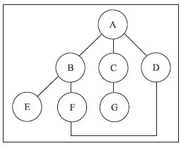
Considere o seguinte grafo.

Assuma que
1) a busca nesse grafo tem início pelo nó A;
2) os nós da esquerda são escolhidos antes dos nós da direita;
3) a busca memoriza os nós já buscados (que são buscados uma única vez).
Então, a ordem de busca nesse grafo será: