Magna Concursos
Questões
Planos
Entrar
Entrar
Criar Conta
Respondida
369725
Ano:
2016
Disciplina:
Informática
Banca:
CIEE
Orgão:
TJ-DFT
Provas:
Estágio - Nível Superior
Provas
×
Escritório
Microsoft Office
Word
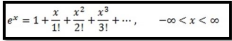
A imagem abaixo é um exemplo de um tipo de equação presente para inserção no Word 2016. Assinale a alternativa que a apresenta.
A
Área de Círculo.
B
Expansão de Taylor.
C
Expansão de Uma Soma.
D
Fórmula Quadrática.
Resolver
Comentários
0
×
Cadernos
×
Flashcards
×
Estatísticas
×
Reportar um erro
×
Provas
Questão presente nas seguintes provas
Estágio - Nível Superior
30 Questões
Resolver Prova
Publicar
Responder
Qual o problema da questão?
Selecione uma opção
Questão Desatualizada
Questão Repetida
Gabarito Errado
Outros Motivos
Mensagem
Enviar
Acessar
Criar Conta
Acesse sua Conta
Google
Facebook
Esqueci minha senha
Acessar
Ainda não tem conta?
Crie uma
!
Crie uma Conta
Criar Conta
Olá, para continuar, precisamos criar uma conta!
É
rápido
e
grátis
.
Google
Facebook
Concordo com os
Termos de Uso
Criar
Já tem uma conta?
Acesse aqui