Magna Concursos
702004 Ano: 2019
Disciplina: Matemática
Banca: VUNESP
Orgão: Pref. Cerquilho-SP

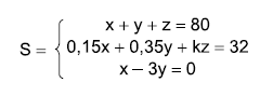
Considere o seguinte sistema linear, sendo k um parâmetro real:

enunciado 702004-1

O Sistema S será

 

Provas

Questão presente nas seguintes provas

Professor da Educação Básica - Matemática

60 Questões