Magna Concursos
664516 Ano: 2016
Disciplina: Engenharia Eletrônica
Banca: AOCP
Orgão: EBSERH
Provas:
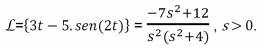
Um Engenheiro Eletricista se deparou com a seguinte Transformada de Laplace em seu projeto: enunciado 664516-1 = {3t - 5. sen(2t)}. Calcule a Transformada de Laplace e assinale a alternativa correta.
 

Provas

Questão presente nas seguintes provas

Engenheiro Eletricista

50 Questões