Magna Concursos
843008 Ano: 2014
Disciplina: Química
Banca: Consulplan
Orgão: MAPA

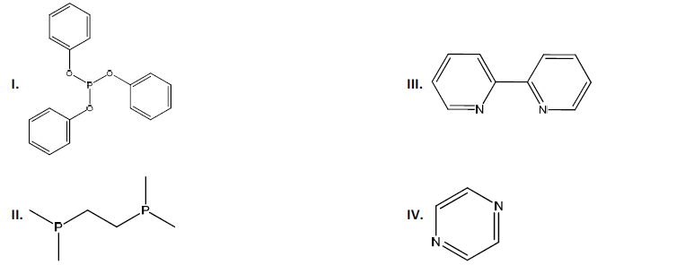
Analise os compostos.

Enunciado 843008-1

Os compostos que podem atuar como ligantes são apenas os das alternativas

Questão Anulada

Provas

Questão presente nas seguintes provas

Auditor-Fiscal Agropecuário - Química

50 Questões