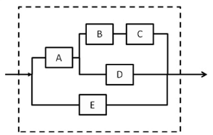
Cinco componentes (A, B, C, De E), com confiabilidades de 0,991, 0,998, 0,975, 0,964 e 0,990, respectivamente, estão ligados conforme a figura a seguir. A confiabilidade do sistema é de:

Cinco componentes (A, B, C, De E), com confiabilidades de 0,991, 0,998, 0,975, 0,964 e 0,990, respectivamente, estão ligados conforme a figura a seguir. A confiabilidade do sistema é de:
