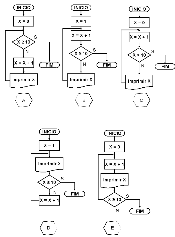
Considere os cinco fluxogramas abaixo, identificados pelas letras A, B, C, D e E, que geram valores da variável
X e imprimem esses valores dentro de uma faixa controlada.

O objetivo dos fluxogramas é imprimir valores de X, na faixa de 1 a 10 (incluindo os limites). Porém um dos fluxogramas imprime valor(es) fora desta faixa. Qual é este fluxograma?

O objetivo dos fluxogramas é imprimir valores de X, na faixa de 1 a 10 (incluindo os limites). Porém um dos fluxogramas imprime valor(es) fora desta faixa. Qual é este fluxograma?