Magna Concursos
711920 Ano: 2015
Disciplina: Matemática
Banca: FUNDATEC
Orgão: BRDE
Provas:

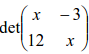
O valor real de x na matriz de ordem 2 x 2 para que enunciado 711920-1 = 45 é:

 

Provas

Questão presente nas seguintes provas

Assistente Administrativo

66 Questões