
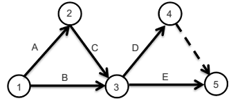
A figura acima apresenta uma rede PERT-CPM de um projeto, em que a duração das atividades A, B, C e D é de cinco dias, e da atividade E, de quatro dias. O cronograma foi elaborado considerando que as atividades devem começar o mais cedo possível. Com base nessas informações e na figura apresentada, assinale a opção correta.