Magna Concursos
2845740 Ano: 2022
Disciplina: Física
Banca: IFPI
Orgão: IFPI
Provas:
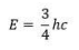
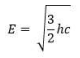
Com o surgimento da Física Quântica, diversos modelos foram sugeridos e a física experimental nunca se fez tão presente na colaboração e solução dos problemas encontrados. Explicar a natureza do espectro do hidrogênio, no início do século XX, era um dos principais problemas. Em 1906, o Físico Theodore Lyman descobre, experimentalmente, a primeira linha espectral resultante da emissão do átomo de hidrogênio. Esse feito proporcionou outros estudos, como as séries Balmer e Paschen, assim como a equação de Rydberg que explicou as linhas espectrais encontradas, e introduziu a chamada constante de Rydberg (R). Já em 1913, Niels Bohr produziu sua teoria atômica e, com isso, foi possível comparar sua teoria com a equação de Rydberg, mostrando perfeita sintonia. Assim, considerando um átomo de hidrogênio estacionário emitindo um fóton correspondente à primeira linha da série Lyman, podemos afirmar que a energia (E) desse fóton corresponde a:
 

Provas

Questão presente nas seguintes provas

Professor PEBTT - Física

60 Questões