Uma fonte trifásica, simétrica e de sequência direta (ABC),
cujo fasor da tensão de fase na fase A é 100 [V], está conectada
em estrela. Essa fonte é responsável pela alimentação de
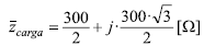
uma carga, que é conectada em triângulo. A impedância de
fase da carga é:

Nesse contexto, assinale a alternativa que apresenta corretamente a corrente de fase na carga.

Nesse contexto, assinale a alternativa que apresenta corretamente a corrente de fase na carga.