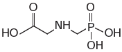
O glifosato !$ (C_3H_8NO_5P) !$ é um herbicida pertencente ao grupo químico das glicinas, classificado como não seletivo. Esse composto possui os grupos funcionais carboxilato, amino e fosfonato. A degradação do glifosato no solo é muito rápida e realizada por grande variedade de microrganismos, que usam o produto como fonte de energia e fósforo. Os produtos da degradação são o ácido aminometilfosfônico (AMPA) e o N-metilglicina (sarcosina):

AMARANTE JR., O. P. et al. Química Nova, São Paulo, v. 25, n. 3, 2002 (adaptado).
A partir do texto e dos produtos de degradação apresentados, a estrutura química que representa o glifosato é:
Provas
Questão presente nas seguintes provas