Texto e figura para as questões 3 e 4

A figura acima representa a componente elétrica E (com
direção
) de uma onda eletromagnética se propagando na direção
de
, sentido positivo, com velocidade c. A onda que encontra em
sua trajetória uma carga elétrica livre de valor +q e massa m,
inicialmente localizada sobre o eixo x. Os vetores unitários
, 
e referem-se, respectivamente, aos eixos x, y e z do sistema de
coordenadas cartesianas.
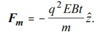
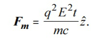
Considerando que, na situação descrita no texto, no instante t, a carga q ainda se encontra na presença dos campos elétrico e magnético e que t = 0 é o instante em que a onda atinge a carga, a força magnética Fm que atua nessa carga é dada por
A figura acima representa a componente elétrica E (com
direção
de
sua trajetória uma carga elétrica livre de valor +q e massa m,
inicialmente localizada sobre o eixo x. Os vetores unitários
e referem-se, respectivamente, aos eixos x, y e z do sistema de
coordenadas cartesianas.
Provas
Questão presente nas seguintes provas